これまでに「秋生まれの子どもが、春生まれの子どもよりアトピー性皮膚炎の発症が多い」ことが指摘されていました。
63aaf6ede64d9df647bc3e26fb4fbeee.pdf (ecochil-koushin.jp)
(Yokomichi H, et al. BMJ Open. 2021;11(7):e047226.)
今回はアトピー性皮膚炎だけでなく、生後1歳までに保護者が報告した子どもの「湿疹」の症状についても検討し、秋生まれとの関連がどのくらい早期から見られるのか検討しています(BMC Pediatrics volume 23, Article number: 78 (2023) )。
対象は、子どもの健康と環境に関する全国調査(エコチル調査)に参加している小児81,615名で、北海道から沖縄県まで全国15のユニットセンターで登録された児です。保護者が判定したa)生後1か月の湿疹、b)生後6か月の湿疹、c)1歳の湿疹および保護者が報告した湿疹、d)1歳までのアトピー性皮膚炎の診断の4つについてで、生まれた季節とそれぞれの発症との関連を多変量解析にて検討しました。
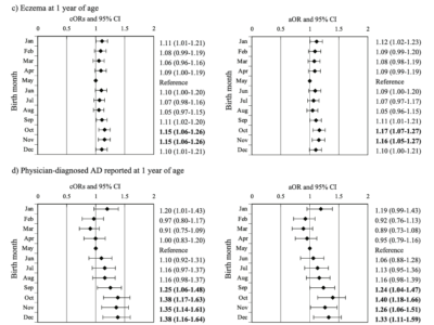
その結果、対象となった小児のうち、それぞれの症状を有していたのは、a)生後1か月の湿疹:61.0%、b)生後6か月の湿疹:33.0%、c)1歳の湿疹:18.7%、d)1歳までのアトピー性皮膚炎の診断:4.3%でした。
生まれた月別の発症状況を比較するため、5月を基準として各生まれ月における湿疹およびアトピー性皮膚炎の出現の調整オッズ比を計算したところ、生後1か月の湿疹では7月生まれで最も高く、生後6か月の湿疹は11月生まれ、1歳の湿疹とアトピー性皮膚炎は10月生まれが最も高くなることがわかりました。生後6か月以降で秋生まれの子が湿疹やアトピー性皮膚炎の発症が高いということがわかりました。


生後6か月時点と1歳時点では観察している季節が異なります。秋生まれでは春に観察する生後6か月時点と秋に観察する1歳時点のいずれでも、他の季節生まれより湿疹の有病率が高いことがわかりました。

児の性別と母親のアレルギー歴の有無で分け、季節と1歳時点までのアトピー性皮膚炎の発症との関連を調べた結果、母のアレルギー歴に関係なく、男児では春生まれより秋生まれでアトピー性皮膚炎の発症が統計的に有意に高いことがわかりました。また、母にアレルギー歴があると男児でも女児でも春生まれと比べて秋生まれの子で発症しやすくなるという関連が見られました。さらに母にアレルギー歴がある男児では夏生まれでもアトピー性皮膚炎の発症が統計的に有意に高いことがわかりました。

以上から、秋生まれの子で湿疹が発症しやすく、1歳までのアトピー性皮膚炎の発症も秋生まれに多いことがわかりました。
秋生まれのお子さん、特に男児や母親にアレルギー疾患歴がある場合は、早期から適切なスキンケアを行う必要がありそうです。 (小児科 土谷)


